Home
Products
News
Contacts
COMMUNICATION ANTENNAS
GSM antennas
GPS antennas
GSM & GPS & WiFi antennas
GPS & GLONASS antennas
GPS & GLONASS & Galileo antennas
GPS & GSM combo antennas
Wi-Fi antennas
433MHz antennas
Wimax antennas
AM FM Antennas
Connectors
COMPONENTS
LED Products and optoelectronics
Electronic Components
GSM modems
GPS modules
LED DISPLAYS
Outdoor LED Displays
Indoor LED Displays
POWER SUPPLIES
Power Supplies
BATTERIES
Lithium Ion (Li-Ion) Batteries Pack
Lithium Polymer (Li-Pol) Batteries
Lithium Thionyl Chloride (Li-SOCl2) Batteries
Lithium Ion (Li-Ion) Cylindrical Batteries
Lithium Ion (Li-Ion) Button Batteries
Lead Acid Batteries
Mobile phone Batteries
Solar batteries
RFID TECHNOLOGY
RFID Labels
RFID Tag Readers
Smart Cards
RFID Tags
WEIGH-IN-MOTION
WIM Software Solutions
SERVICE
PCB Manufacturing
ELECTRONICS SOLUTION GROUP LTD
Next
Previous
Please enable JavaScript to view this page content properly
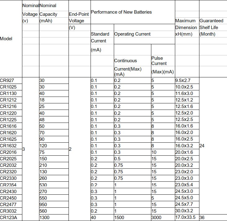
Lithium ion (li-ion) Button Batteries
© 2007 - 2022
www.electronics-solution.com